Quels sont les aliments les plus désaltérants ?
En pleine canicule ou après un important effort, certains aliments hydratent parfois autant, voire mieux, qu'un grand verre d'eau. Voici quelques-uns des meilleurs alliés contre la déshydratation.

Quelle est la méthode la plus efficace pour se réhydrater ? On aurait tendance à penser qu'il suffit de boire de l'eau pour se sentir totalement désaltéré. En réalité, la vitesse d’absorption et la rétention d’eau dans l’organisme dépendent de plusieurs autres facteurs, comme le taux d'électrolytes (sodium, potassium, magnésium) et de nutriments présents dans l'eau... ou dans les aliments !
À lire aussi : Voici pourquoi vous ne devriez pas mettre de concombre dans votre eau cet été
Quels sont les boissons les plus désaltérantes ?
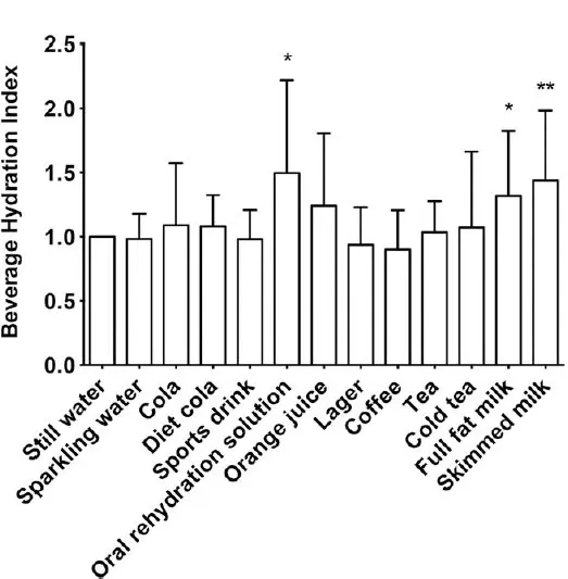
En 2016, une étude publiée dans la revue The American Journal of Clinical Nutrition a par exemple introduit la notion de "Beverage Hydration Index" (BHI), un indicateur permettant de mesurer la capacité d'une boisson à maintenir l'hydratation sur plusieurs heures. Les résultats de cette étude ont ainsi permis de démontrer que l'eau n'était paradoxalement pas la boisson la plus efficace pour aider à la réhydratation.
Les solutés de réhydratation orale, utilisés par les professionnels de santé en cas de déshydratation sévère, est par exemple 50 % plus hydratante que l'eau. Plus surprenant, le jus d'orange, le lait ou même les sodas maintiennent l'hydratation plus longtemps que l'eau, en raison de leur teneur en sodium ou en potassium plus importante.

Quels sont les fruits les plus désaltérants ?
Connaissez-vous le fruit le plus hydratant ? Aussi surprenant que cela puisse paraître, il ne s'agit pas de la pastèque ! Et pourtant, la star des étals estivaux est composée à 91 % d'eau, selon les données de la table de composition nutritionnelle du Ciqual. Le fruit qui se hisse sur la plus haute marche du podium de l'hydratation est un aliment exotique moins populaire en France, mais célèbre pour une particularité unique : une fois découpé, ce fruit prend la délicate forme d'une étoile.
Vous avez peut-être deviné, il s'agit de la carambole ! Toujours d'après le Ciqual, une portion de 100 g de ce fruit originaire d'Asie du Sud-Est culmine à pas moins de 91,4 g d'eau. Vous ne savez pas où vous fournir en stock de carambole pour tenir le coup en pleine canicule ? Pas d'inquiétude, d’autres fruits sont tout aussi hydratants, mais bien plus faciles à trouver en grande surface.. Les agrumes, les fraises, le melon ou les pêches font également parfaitement l'affaire pour se désaltérer en toute gourmandise.
Quels sont les légumes les plus désaltérants ?
Le saviez-vous ? En moyenne, 20 % de notre hydratation quotidienne provient de l’alimentation, une part non négligeable pour rester à flot au quotidien ! Et la meilleure source en eau de l'alimentation reste indubitablement les légumes. Parmi ces champions de l'hydratation, le concombre arrive en tête avec une teneur en eau de 96 %. Peu calorique et riche en potassium, il aide ainsi à rééquilibrer les niveaux hydriques tout en apportant une quantité modérée de fibres.
Suivent ensuite de près la laitue iceberg, le céleri, le radis, les tomates, la courgette ou encore l’aubergine, tous à plus de 90 % d’eau. Et au-delà de l’eau qu’ils renferment, ces aliments contiennent aussi des vitamines, des antioxydants et des électrolytes, parfaits pour prévenir ou calmer une déshydratation. Les soupes froides de légumes, comme le fameux gaspacho, sont également d'excellentes options pour allier hydratation et bienfaits nutritionnels.
Quels sont les aliments à éviter pour s'hydrater ?
Certains aliments ou boissons donnent une impression de désaltération immédiate… mais déshydratent à long terme. C’est notamment le cas des boissons caféinées (café, thé, sodas) : même si elles hydratent l'organisme, ces boissons ont surtout un effet diurétique, qui augmente finalement les pertes en eau.
L’alcool est encore pire : il inhibe l’hormone antidiurétique (ADH), ce qui conduit à une élimination accélérée des liquides. Enfin, les aliments très salés, comme les chips ou la charcuterie provoquent une soif importante et perturbent l’équilibre hydrique en favorisant la rétention d'eau dans les tissus plutôt que dans les cellules. Pour l'apéritif, préférez plutôt des morceaux de légumes frais. De quoi bien se désaltérer tout en se régalant !