Agriculteurs : les démences en baisse ?
En Gironde, la part de la population rurale souffrant d'une démence a diminué de près de 40% en 20 ans, selon des chercheurs de l'ISPED/INSERM. Cette tendance, observée en dépit du vieillissement de la population, pourrait s'expliquer par l'amélioration de la prévention, avec une diminution de nombreux facteurs de risque.

A l'échelle mondiale, le constat est loin d'être uniforme : d'un pays à l'autre, les démences apparaissent tantôt progresser, tantôt régresser dans les populations rurales. Pour ce qui est de la France – ou tout du moins de la Gironde – l'évolution est clairement encourageante.
Des chercheurs de l'ISPED/INSERM assurent depuis 2008 le suivi d'un millier d'agriculteurs, recrutés au sein du registre de leur sécurité sociale (cohorte AMI). Les données initialement recensées ont été comparées à celles recueillies en 1988 dans le cadre d'un autre programme de recherche (étude Paquid).
La part des participants présentant des critères objectifs de démence (score au test MMSE) apparaît avoir diminué de 38% entre ces deux études alors même que, "papy boom" oblige, l'âge moyen des participants a augmenté. A noter que le taux de démences préalablement diagnostiquées a, lui, doublé – les praticiens étant beaucoup plus sensibilisés à la question qu'à la fin des années 1980, et les protocoles plus fiables.
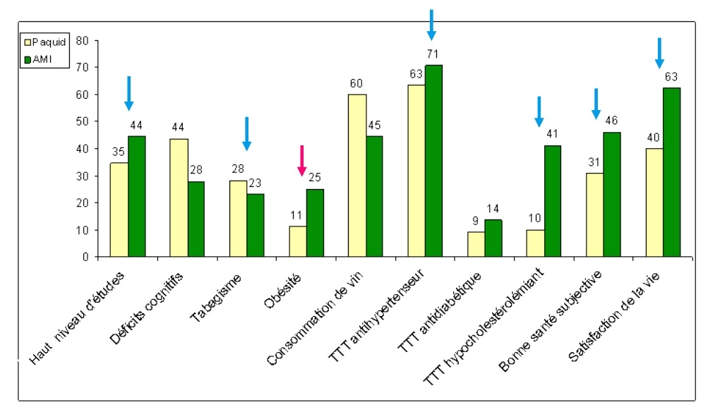
Comment expliquer que les agriculteurs de Gironde du début du XXIème siècle soient proportionnellement moins nombreux que ceux de la fin du XXème à souffrir de démence ?
La réponse pourrait résider dans l'évolution à la baisse de nombreux facteurs de risques de maladies associées au développement des démences. Excepté le taux d'obésité, qui a plus que doublé en 20 ans, tous les autres indicateurs ont évolué favorablement (voir ci-dessous).

Facteurs potentiels pouvant expliquer la baisse de la démence. Les flèches bleues désignent les évolutions positives, la flèche rouge un facteur potentiellement aggravant dont l'effet semble toutefois contrebalancé par d'autres. TTT est l'abbréviation de "traitements". (Source : Ipsed/Inserm et Groupe Agrica)
Ces données semblent démontrer que les efforts de prévention menés depuis plusieurs décennies portent leurs fruits. Toutefois, à l'échelle de la population française, les projections des épidémiologistes restent pessimistes, les cas de démences étant amenés à augmenter dans la décennie à venir.
En savoir plus sur les démences :
Une démence est un syndrome dans lequel on observe "une dégradation de la mémoire, du raisonnement, du comportement et de l'aptitude à réaliser les activités quotidiennes". (OMS)
En France, près de 20% des personnes âgées de plus de 75 ans souffriraient de démence, selon les données de l'OPEPS. Il y aurait 850.000 déments en France (1,3 million en 2020), et 225.000 nouveaux cas seraient diagnostiqués chaque année. Ces démences entraînent, pour le patient, une importante perte d'autonomie et de grandes souffrances psychiques. Elles sont également source d'épuisement pour les aidants.